Đề thi thử tốt nghiệp THPT 2026 môn Toán - Sở GD Quảng Ninh
Câu 3. Trong một cuộc thi, có 7 thí sinh đã được xếp ngồi cố định quanh một bản tròn và giám thị có 3 mã đề khác nhau (giả sử số lượng đề thi của mỗi mã là nhiều tùy ý). Hỏi có bao nhiêu cách phát đề cho các thí sinh, mỗi thí sinh 1 đề sao cho hai thí sinh ngồi cạnh nhau thì khác mã đề?
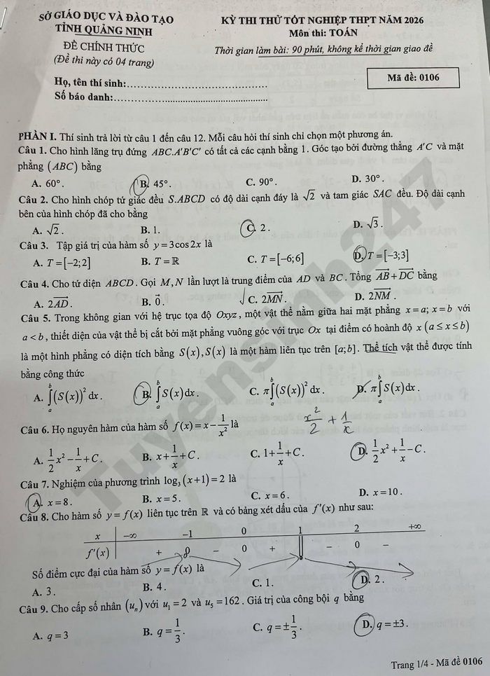
Lưu ý: Đáp án trong đề là bài làm của học sinh, có thể không chính xác




>>> Xem thêm lời giải chi tiết các đề thi thử Tốt nghiệp THPT 2026 môn Toán của các Sở GD, các trường THPT trên cả nước TẠI ĐÂY
Theo TTHN
🔥 2K9 LUYỆN THI TN THPT, ĐÁNH GIÁ NĂNG LỰC & ĐGTD TRÊN TUYENSINH247
- Lộ trình xuất phát sớm ôn TN THPT, các bài thi ĐGNL, ĐGTD chuẩn sát. Học thử ngay
- Luyện thi chuyên biệt, chuyên sâu theo từng chuyên đề có trong các kì thi TN THPT, ĐGNL/ĐGTD.
- Đề luyện thi chất lượng, bám sát cấu trúc các kỳ thi TN THPT, ĐGNL, ĐGTD. Phòng thi online mô phỏng thi thật.
- Học chủ động, nhanh, chậm theo tốc độ cá nhân
🔥 2K9 CHÚ Ý! LUYỆN THI TN THPT - ĐÁNH GIÁ NĂNG LỰC - ĐÁNH GIÁ TƯ DUY!
- Em muốn xuất phát sớm ôn luyện ĐGNL/ĐGTD nhưng chưa biết bắt đầu từ đâu?
- Em muốn ôn thi TN THPT và ĐGNL/ĐGTD để tăng cơ hội xét tuyển nhưng không biết ôn thế nào, sợ quá tải?
- Em muốn được luyện đề chất lượng, chuẩn cấu trúc các kì thi?
- Em muốn ôn thi cùng TOP thầy cô giỏi hàng đầu cả nước?
️🎯 LỘ TRÌNH SUN 2027 - LUYỆN THI TN THPT - ĐGNL - ĐGTD (3IN1)
- Cá nhân hoá lộ trình học: Bổ sung kiến thức nền tảng/ Luyện thi/ Luyện đề phù hợp với mục tiêu và mức học lực hiện tại.
- Top thầy cô nổi tiếng cả nước hơn 15 năm kinh nghiệm
- Ưu đãi học phí lên tới 50%. Xem ngay - TẠI ĐÂY