Thông tin tuyển sinh Đại học Hải Phòng 2026

Năm 2026, Đại học Hải Phòng tuyển sinh dự kiến 3195 chỉ tiêu với các phương thức xét tuyển: Xét học bạ, xét điểm thi THPT, xét CCQT, xét điểm ĐGNL ĐHQGHN (HSA), xét điểm thi V-SAT, xét tuyển thẳng.

1. Đối tượng, điều kiện dự tuyển

1.1. Đối tượng, điều kiện chung

Thí sinh dự tuyển được xác định tại thời điểm xét tuyển trước khi công bố kết quả xét tuyển chính thức bao gồm:

Thí sinh đã được công nhận tốt nghiệp THPT, trung học nghề của Việt Nam hoặc của nước ngoài được công nhận trình độ tương đương với THPT, trung học nghề của Việt Nam do các đơn vị chức năng xác định;

Thí sinh đã có bằng tốt nghiệp trung cấp ngành nghề thuộc cùng nhóm ngành dự tuyển và đã hoàn thành đủ yêu cầu khối lượng kiến thức văn hóa cấp THPT theo quy định của pháp luật;

Thí sinh tốt nghiệp từ năm 2026, phải có tổng điểm 03 môn thi kỳ thi tốt nghiệp THPT (kỳ thi trung học nghề đối với đối tượng trung học nghề) các năm theo tổ hợp xét tuyển (hoặc sử dụng điểm thi môn Toán, Ngữ văn và một môn thi khác) đạt tối thiểu 15,00 điểm theo thang điểm 30. Quy định này không áp dụng đối với thí sinh được đặc cách xét tốt nghiệp THPT và thí sinh được xét tuyển thẳng theo quy định của Bộ GD&ĐT;

Các ngành đào tạo giáo viên chỉ xét tuyển thí sinh đăng ký ở các nguyện vọng có thứ tự từ 01 đến 05;

Có đủ sức khỏe để học tập theo quy định hiện hành;

Có đủ thông tin cá nhân, hồ sơ dự tuyển theo quy định của Trường.

1.2. Phạm vi tuyển sinh

Tuyển sinh toàn quốc;

Đối với các ngành đào tạo giáo viên: chỉ xét tuyển thí sinh có hộ khẩu thường trú tại Hải Phòng, được đăng ký trước thời điểm Bộ GD&ĐT mở hệ thống đăng ký xét tuyển đại học.

2. Mô tả phương thức tuyển sinh

Năm 2026, Nhà trường sử dụng đồng thời 05 phương thức (PT). Trong đó, PT1 (Xét tuyển kết quả thi tốt nghiệp THPT năm 2026) là phương thức gốc, cụ thể:

2.1. PT1: Xét tuyển kết quả thi tốt nghiệp THPT năm 2026

2.2. PT2: Xét tuyển kết quả học tập THPT

Sử dụng điểm trung bình chung kết quả học tập cả năm các lớp 10, 11, 12 để xét tuyển;

Ngành Ngôn ngữ Anh, Ngôn ngữ Trung Quốc, Đông phương học (Nhật Bản học), các ngành đào tạo giáo viên (trừ ngành Giáo dục thể chất) không xét tuyển theo phương thức này.

2.3. PT3: Xét tuyển kết hợp giữa chứng chỉ ngoại ngữ (IELTS, TOEFL iBT, TOEIC, tiếng Trung HSK, tiếng Nhật JLPT) với kết quả thi tốt nghiệp THPT hoặc điểm trung bình chung kết quả học tập cả năm của các lớp 10, 11, 12.

Sử dụng chứng chỉ ngoại ngữ (CCNN):
Tiếng Anh (IELTS, TOEFL iBT, TOEIC), Tiếng Trung (HSK); Tiếng Nhật (JLPT).

Chứng chỉ được các tổ chức quốc tế cấp từ ngày 01/06/2024 đến khi kết thúc đăng ký xét tuyển theo PT3 trên Hệ thống tuyển sinh của Trường. Chứng chỉ quy đổi về thang điểm 10 thay thế điểm môn ngoại ngữ tương ứng trong tổ hợp môn và thực hiện xét tuyển như sau:

PT3.1: Xét tuyển kết hợp giữa chứng chỉ ngoại ngữ và kết quả thi tốt nghiệp THPT năm 2026.

PT3.2: Xét tuyển kết hợp giữa chứng chỉ ngoại ngữ với điểm trung bình chung kết quả học tập cả năm các lớp 10, 11, 12 (các ngành Sư phạm, Ngôn ngữ Anh, Ngôn ngữ Trung Quốc, Đông phương học (Nhật Bản học) không xét tuyển theo phương thức này).

Bảng quy đổi chứng chỉ ngoại ngữ sang thang điểm 10

TT IELTS TOEFL iBT TOEIC HSK JLPT Điểm
1 5.0 77-86 700-775 HSK3 N4 8.0
2 5.5 87-94 780-805 8.5
3 6.0 95-102 810-840 HSK4 N3 9.0
4 6.5 103-109 845-875 9.5
5 7.0-9.0 110-120 880-990 HSK5, HSK6 N2, N1 10.0

2.4. PT4: Xét kết quả thi Đánh giá năng lực hoặc Đánh giá tư duy năm 2026 do Đại học Quốc gia Hà Nội, Đại học Bách Khoa Hà Nội, Trường Đại học Sư phạm Hà Nội tổ chức.
(Các ngành đào tạo giáo viên, Ngôn ngữ Anh, Ngôn ngữ Trung Quốc, Đông phương học không xét theo phương thức này.)

2.5. PT5: Xét tuyển thẳng

Áp dụng cho các đối tượng theo Điều 8 Quy chế tuyển sinh hiện hành của Bộ GD&ĐT, cụ thể như sau:

Anh hùng lao động, Anh hùng lực lượng vũ trang nhân dân, Chiến sĩ thi đua toàn quốc;

Thí sinh đạt thành tích cao trong các kỳ thi, cuộc thi, giải đấu cấp quốc gia hoặc quốc tế, do Bộ GD&ĐT, Bộ Văn hóa, Thể thao và Du lịch tổ chức, cử tham gia, được xét tuyển thẳng vào chương trình đào tạo phù hợp với môn thi, nội dung đề tài hoặc nghề dự thi, thi đấu, đạt giải; trong các trường hợp:

Thí sinh đạt giải nhất, nhì, ba trong kỳ thi chọn học sinh giỏi quốc gia, quốc tế; thời gian đạt giải không quá 03 năm tính tới thời điểm xét tuyển thẳng;

Thí sinh đạt giải nhất, nhì, ba kỳ thi khoa học, kỹ thuật cấp quốc gia, quốc tế do Bộ GD&ĐT tổ chức, cử tham gia và đạt ngưỡng đảm bảo chất lượng đầu vào của chương trình đào tạo. Thời gian đạt giải không quá 03 năm tính tới thời điểm nếu được xét tuyển thẳng;

Thí sinh đạt giải chính thức trong các cuộc thi nghệ thuật quốc tế về ca, múa, nhạc, mỹ thuật được Bộ Văn hóa, Thể thao và Du lịch công nhận; thời gian đạt giải không quá 04 năm tính tới thời điểm xét tuyển thẳng;

Thí sinh tham gia đội tuyển quốc gia thi đấu tại các giải quốc tế chính thức được Bộ Văn hóa, Thể thao và Du lịch xác nhận đã hoàn thành nhiệm vụ, gồm có: Giải vô địch thế giới, Cúp thế giới, Thế vận hội Olympic, Đại hội Thể thao châu Á (ASIAD), Giải vô địch châu Á, Cúp châu Á, Giải vô địch Đông Nam Á, Đại hội Thể thao Đông Nam Á (SEA Games), Cúp Đông Nam Á; thời gian đạt giải không quá 04 năm, tính đến thời điểm xét tuyển thẳng;

Thí sinh đạt giải nhất, nhì, ba trong các kỳ thi tay nghề khu vực ASEAN và thi tay nghề quốc tế do Bộ GD&ĐT cử tham gia; thời gian đạt giải không quá 03 năm tính đến thời điểm xét tuyển thẳng.

3. Quy tắc quy đổi độ lệch điểm ngưỡng đầu vào và điểm trúng tuyển giữa các phương thức tuyển sinh

3.1. Nguyên tắc chung

Quy tắc này áp dụng cho việc xét tuyển đại học chính quy tại Trường Đại học Hải Phòng theo các PT1, PT2, PT3, PT4 tuyển sinh năm 2026.

Điểm xét tuyển của PT2, PT3, PT4 đều phải quy đổi về PT1 để đảm bảo công bằng khi xét tuyển.

Sau khi quy đổi chứng chỉ ngoại ngữ sang điểm Ngoại ngữ thay thế, PT3 được quy đổi về PT1 hoặc PT2.

Bảng quy đổi chi tiết sẽ được Trường Đại học Hải Phòng công bố sau khi hoàn tất việc phân tích đối sánh điểm của các thí sinh có nguyện vọng đăng ký vào Trường năm 2026.

3.2. Khung quy đổi tương đương

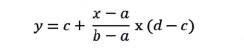
Điểm của mỗi tổ hợp theo PT2, PT4 được quy đổi tương đương với điểm thi tốt nghiệp THPT năm 2026 theo công thức nội suy tuyến tính:

Thong tin tuyen sinh Dai hoc Hai Phong 2026

Trong đó:

x: tổng điểm gốc của tổ hợp (từ PT2 hoặc PT4);

[a, b]: khoảng phân vị của điểm gốc x;

[c, d]: khoảng điểm tương ứng bên điểm thi THPT (PT1);

y: điểm quy đổi tương đương PT1.

Tương ứng với mỗi tổ hợp, mỗi phương thức sẽ có 1 bảng quy đổi điểm tương đương với điểm thi tốt nghiệp THPT riêng biệt (thể hiện các giá trị a, b, c và d tương ứng với mỗi khoảng phân vị T). Bảng quy đổi điểm được xây dựng dựa trên kết quả phân tích và đối sánh tương ứng theo từng tổ hợp của PT2, PT4 với điểm thi tốt nghiệp THPT (áp dụng phương pháp phân tích bách phân vị: chia thí sinh thành các nhóm từ điểm cao đến thấp). Bảng quy đổi điểm mỗi tổ hợp của từng phương thức có dạng tổng quát như sau:

Thong tin tuyen sinh Dai hoc Hai Phong 2026

3.3. Ngưỡng đảm bảo chất lượng đầu vào

3.3.1. Quy định chung

Ngưỡng đảm bảo chất lượng đầu vào (mức điểm nhận đăng ký xét tuyển) là tổng điểm của 03 môn trong tổ hợp xét tuyển và đã cộng điểm ưu tiên. Điểm ưu tiên thực hiện theo quy định tại Quy chế tuyển sinh hiện hành.

Đối với ngành Sư phạm Tiếng Anh, Ngôn ngữ Anh: điểm ngoại ngữ trong tổ hợp môn xét tuyển phải đạt từ 6,0 trở lên.

Đối với ngành Kiến trúc (tổ hợp V01), Giáo dục Mầm non, Giáo dục thể chất: ngoài yêu cầu về tổng điểm 3 môn trong tổ hợp xét tuyển, thí sinh còn phải đáp ứng thêm yêu cầu tổng điểm của 02 môn văn hóa + điểm ưu tiên đạt từ 2/3 mức điểm nhận đăng ký xét tuyển của ngành.

Thí sinh là vận động viên cấp 1, vận động viên kiện tướng, vận động viên đã từng đạt huy chương tại Hội khỏe Phù Đổng, các giải trẻ quốc gia và quốc tế, thí sinh ngành Giáo dục thể chất có điểm thi năng khiếu đạt loại xuất sắc (từ 9,00 trở lên theo thang điểm 10) khi đăng ký xét tuyển vào các chương trình đào tạo phù hợp không phải áp dụng ngưỡng đầu vào.

Ngưỡng đảm bảo chất lượng đầu vào được Trường công bố trước thời gian kết thúc đăng ký dự tuyển theo kế hoạch tuyển sinh của Bộ GD&ĐT.

3.3.2. Đối với các ngành đào tạo giáo viên và pháp luật

a) PT1 và PT3.1:

Ngưỡng đầu vào Trường quy định và không thấp hơn ngưỡng đầu vào do Bộ GD&ĐT công bố.

b) PT2, PT3.2, PT4:

Ngành Luật:
Kết quả trung bình chung học tập được đánh giá mức tốt (học lực xếp loại từ giỏi trở lên) cả năm lớp 12 (kết quả học tập 02 học kỳ năm cuối cấp đối với đối tượng trung học nghề và tương đương) và tổng điểm 03 môn thi tốt nghiệp THPT theo tổ hợp xét tuyển (hoặc sử dụng điểm thi môn Toán, Ngữ văn và một môn thi khác) đạt 18,00 điểm trở lên hoặc điểm xét tốt nghiệp THPT (điểm thi tốt nghiệp trung học nghề) từ 8,50 trở lên.

Ngành Giáo dục thể chất:
Kết quả trung bình chung học tập đánh giá mức khá (học lực xếp loại từ khá trở lên) cả năm lớp 12 (kết quả học tập 02 học kỳ năm cuối cấp đối với đối tượng trung học nghề và tương đương) và tổng điểm 03 môn thi tốt nghiệp THPT đạt 16,50 điểm trở lên hoặc điểm xét tốt nghiệp THPT (trung học nghề) từ 6,50 trở lên đối với các chương trình đào tạo Giáo dục thể chất.

3.4. Điểm xét tuyển

3.4.1. Thành phần điểm xét tuyển

Gồm 3 thành phần (A), (B), (C)

a) Thành phần (A):

Đối với PT1, PT3 (PT3.1): là tổng điểm 03 môn thi tốt nghiệp THPT năm 2026 trong THM xét tuyển hoặc tổng điểm 02 môn thi tốt nghiệp trong THM + điểm CCNN quy đổi hoặc tổng điểm 2 môn thi tốt nghiệp trong THM + điểm NK.

Đối với PT2, PT3 (PT3.2): là tổng điểm trung bình chung kết quả học tập cả năm các lớp 10, 11, 12 trong THM xét tuyển hoặc tổng điểm trung bình chung kết quả học tập cả năm các lớp 10, 11, 12 của 02 môn trong THM + điểm CCNN quy đổi hoặc tổng điểm trung bình chung kết quả học tập cả năm các lớp 10, 11, 12 của 02 môn trong THM + điểm NK.

Đối với PT4: là kết quả thi Đánh giá tư duy hoặc Đánh giá năng lực năm 2026 do Đại học Quốc Gia Hà Nội (HSA)/Đại học Bách Khoa Hà Nội (TSA)/Trường Đại học Sư phạm Hà Nội (SPT) tổ chức được quy đổi về PT1.

b) Thành phần (B): Điểm cộng (theo quy định tại mục 5.2)

c) Thành phần (C): Điểm ưu tiên bao gồm điểm ưu tiên khu vực và điểm ưu tiên đối tượng (thực hiện theo quy định hiện hành của Bộ GD&ĐT)

(A) + (B): Tổng điểm đạt được

Nếu (A) + (B) vượt quá 30 điểm thì sẽ quy về điểm tuyệt đối (điểm xét tuyển) là 30 điểm.

Nếu (A) + (B) đạt từ 22,50 trở lên thì thực hiện tính điểm ưu tiên theo công thức sau:

ĐUT (C) = [(30 − (A + B)) / 7,50] × (Điểm ưu tiên)

3.4.2. Hướng dẫn tính điểm xét tuyển

Ví dụ:
Thí sinh có kết quả thi tốt nghiệp THPT (A) = 24,50 điểm; đạt giải nhất môn Toán cấp thành phố do Sở GD&ĐT tổ chức (được cộng 1,50 điểm), xét vào ngành Luật, Khu vực ưu tiên KV1 (được cộng 0,75 điểm); đối tượng ưu tiên 06 (được cộng 1,00 điểm). Khi đó:

  • Tổng điểm (A) + (B) của thí sinh = 24,50 + 1,50 = 26,00 (điểm)
  • Điểm ưu tiên (C) = [(30 − 26,00)/7,50] × (0,75 + 1,00) = 0,93 (điểm)

-> Điểm xét tuyển = 26,00 + 0,93 = 26,93 (điểm)

3.5. Nguyên tắc xét tuyển

a) Điểm trúng tuyển được xác định để số lượng tuyển được theo từng chương trình đào tạo phù hợp với số lượng tuyển sinh đã công bố theo nguồn tuyển và không thấp hơn ngưỡng đầu vào;

b) Đối với một chương trình đào tạo, tất cả thí sinh được xét chọn bình đẳng dựa trên điểm xét và điểm trúng tuyển quy đổi tương đương theo từng phương thức xét tuyển, tổ hợp xét tuyển, không phụ thuộc thứ tự ưu tiên của nguyện vọng đăng ký trừ trường hợp quy định tại điểm c khoản này;

c) Trường hợp nhiều thí sinh có cùng điểm xét ở cuối danh sách, thứ tự xét ưu tiên đối với các thí sinh có điểm cộng thấp hơn; trường hợp nhiều thí sinh có cùng điểm xét ở cuối danh sách và có điểm cộng bằng nhau, thứ tự xét ưu tiên đối với các thí sinh có thứ tự ưu tiên nguyện vọng cao hơn; có điểm môn Toán cao hơn; có điểm môn Văn cao hơn; có điểm môn Ngoại ngữ cao hơn.

d) Việc sử dụng điểm ưu tiên khu vực, đối tượng để xét tuyển đảm bảo thống nhất, đồng bộ với quy định về điểm ưu tiên được quy định tại Điều 7 của Quy chế tuyển sinh hiện hành.

4. Chỉ tiêu tuyển sinh

>> XEM THÊM ĐIỂM CHUẨN ĐẠI HỌC HẢI PHÒNG CÁC NĂM TẠI ĐÂY

A. Chương trình chất lượng cao
Mã xét tuyển Tên ngành/Chuyên ngành Mã ngành Tổ hợp môn (THM) Chỉ tiêu
7310101.20 Logistics và vận tải đa phương thức (CLC) 7310101 A00, A01, C01, C03, C04, D01 50
7340101.20 Kinh doanh số và đổi mới sáng tạo (CLC) 7340101 A00, A01, C01, C03, C04, D01 50
7340101.21 Quản trị kinh doanh quốc tế (CLC) 7340101 A00, A01, C01, C03, C04, D01 50
7340301.20 Kế toán DN theo định hướng ACCA (CLC) 7340301 A00, A01, C01, C02, D01, D07 50
7480201.20 Thiết kế game và Multimedia (CLC) 7480201 A00, A01, C01, C02, D01, X26 50
7510301.20 Công nghệ điện tử, vi mạch và bán dẫn (CLC) 7510301 A00, A01, A02, A10, C01, D01 50
B. Chương trình chuẩn
I. Nhóm: Pháp luật, kinh doanh, quản lý, kế toán, tài chính
Mã xét tuyển Tên ngành/Chuyên ngành Mã ngành Tổ hợp môn Chỉ tiêu
7380101.01 Luật 7380101 A00, C03, C04, D01, X01 70
7340101.01 Quản trị kinh doanh 7340101 A00, A01, C01, C03, C04, D01
7340101.02 Quản trị tài chính kế toán 7340101 A00, A01, C01, C03, C04, D01 100
7340115.01 Marketing số 7340115 A00, A01, C01, C03, C04, D01
7340115.02 Marketing 7340115 A00, A01, C01, C03, C04, D01
7340115.03 Truyền thông marketing 7340115 A00, A01, C01, C03, C04, D01 200
7340122.01 Thương mại điện tử 7340122 A00, A01, C01, C03, C04, D01 110
7340201.02 Tài chính doanh nghiệp 7340201 A00, A01, C01, C02, D01, D07 125
7340301.02 Kế toán doanh nghiệp 7340301 C01, C02, D01, D07
7340301.03 Kế toán - Kiểm toán 7340301 C01, C02, D01, D07 150
II. Nhóm: Ngoại ngữ, kinh tế, du lịch, xã hội
Mã xét tuyển Tên ngành/Chuyên ngành Mã ngành Tổ hợp môn Chỉ tiêu
7220201.01 Ngôn ngữ Anh 7220201 D01, D09, D10, D14, D15 145
7220204.01 Ngôn ngữ Trung Quốc 7220204 D01, D04, D09, D14, D15, D45 145
7229030.01 Văn học 7229030 C00, C03, C04, C19, C20, D15 60
7310101.02 Kinh tế ngoại thương 7310101 A00, A01, C01, C03, C04, D01
7310101.03 Quản lý kinh tế 7310101 A00, A01, C01, C03, C04, D01
7310101.04 Logistics và vận tải đa phương thức 7310101 A00, A01, C01, C03, C04, D01 150
7310401.01 Tâm lý học giáo dục 7310401 C00, C03, C04, D01, D15, X01 50
7310608.01 Đông phương học (Nhật Bản học) 7310608 C00, D01, D04, D06, DD2 50
7760101.01 Công tác xã hội 7760101 C00, C03, C04, D01, D15, X01 65
7810103.01 Quản trị DV du lịch và lữ hành 7810103 C00, C03, C04, D01, D14, D15
7810103.02 Quản trị lữ hành, khách sạn 7810103 C00, C03, C04, D01, D14, D15
7810103.03 Hướng dẫn du lịch 7810103 C00, C03, C04, D01, D14, D15 210
III. Nhóm: CNTT, kỹ thuật, xây dựng, kiến trúc
Mã xét tuyển Tên ngành/Chuyên ngành Mã ngành Tổ hợp môn Chỉ tiêu
7480201.01 Công nghệ thông tin 7480201 A00, A01, C01, C02, D01, X26
7480201.02 Trí tuệ nhân tạo và Khoa học dữ liệu 7480201 A00, A01, C01, C02, D01, X26 135
7510103.02 Xây dựng dân dụng và công nghiệp 7510103 A00, A01, A02, A10 70
7510202.01 Công nghệ chế tạo máy 7510202 A00, A01, A02, A10, C01, D01 60
7510203.01 Công nghệ kỹ thuật cơ điện tử 7510203 A00, A01, A02, A10, C01, D01 110
7510301.02 Điện công nghiệp và dân dụng 7510301 A00, A01, A02, A10, C01, D01 65
7510303.02 Điện tử tự động công nghiệp 7510303 A00, A01, A02, A10, C01, D01 120
7580101.01 Kiến trúc 7580101 A00, A01, D01, V01 55
IV. Nhóm: Đào tạo giáo viên
Mã xét tuyển Tên ngành Mã ngành Tổ hợp môn Chỉ tiêu
7140201.01 Giáo dục Mầm non 7140201 M00, M01, M02, M03, M04 120
7140202.01 Giáo dục Tiểu học 7140202 A01, C01, C02, C03, C04, D01 150
7140206.01 Giáo dục thể chất 7140206 T00, T01, T02 40
7140209.01 Sư phạm Toán 7140209 A00, A01, C01, C02, D07 110
7140217.01 Sư phạm Ngữ văn 7140217 C00, C03, C04, D01, D14, D15 110
7140231.01 Sư phạm Tiếng Anh 7140231 D01, D09, D10, D14, D15 120

5. Các thông tin cần thiết khác để thí sinh dự tuyển vào Trường

5.1. Điểm ưu tiên khu vực, đối tượng

Trường áp dụng chính sách ưu tiên chung theo quy chế tuyển sinh hiện hành, cụ thể:

Mức điểm ưu tiên áp dụng cho khu vực 1 (KV1) là 0,75 điểm, khu vực 2 nông thôn (KV2-NT) là 0,50 điểm, khu vực 2 (KV2) là 0,25 điểm; khu vực 3 (KV3) không được tính điểm ưu tiên;

Thí sinh được hưởng chính sách ưu tiên khu vực theo quy định trong năm tốt nghiệp THPT (hoặc trung cấp, trung học nghề) và một năm kế tiếp.

Mức điểm ưu tiên áp dụng cho nhóm đối tượng UT1 (gồm các đối tượng 01 đến 03) là 2,00 điểm và cho nhóm đối tượng UT2 (gồm các đối tượng 04 đến 06) là 1,00 điểm;

Các mức điểm ưu tiên được quy định nêu trên tương ứng với tổng điểm 03 môn (trong tổ hợp xét tuyển) theo thang điểm 30 đối với từng môn (không nhân hệ số); trường hợp phương thức tuyển sinh sử dụng thang điểm khác thì mức điểm ưu tiên được quy đổi tương ứng.

Điểm ưu tiên đối với thí sinh đạt tổng điểm từ 22,50 trở lên (khi quy đổi về điểm theo thang 10 và theo thang tổng điểm 03 môn tối đa là 30) được làm tròn đến hàng phần trăm và xác định theo công thức sau:

Điểm ưu tiên = [(30 - Tổng điểm đạt được)/7,50] x Mức điểm ưu tiên quy định

5.2. Điểm cộng

a) Đối với thí sinh được xét tuyển thẳng theo quy định tại khoản 2, Điều 8 của Quy chế tuyển sinh đại học hiện hành nhưng không sử dụng quyền xét tuyển thẳng thì được cộng điểm thưởng vào tổng điểm xét tuyển theo giải thí sinh đạt được (theo mục 2.5), cụ thể:

  • Giải nhất: 3,0 (ba) điểm
  • Giải nhì: 2,0 (hai) điểm
  • Giải ba: 1,0 (một) điểm

b) Đối với thí sinh đạt giải Nhất, Nhì, Ba trong các kỳ thi học sinh giỏi các môn văn hóa hoặc năng khiếu cấp tỉnh/thành phố do Sở GD&ĐT hoặc Sở Văn hóa, Thể thao và Du lịch tổ chức; thời gian đạt giải không quá 03 năm tính đến thời điểm xét tuyển; điểm cộng như sau:

  • Giải nhất: 1,5 (một phẩy năm) điểm
  • Giải nhì: 1,0 (một) điểm
  • Giải ba: 0,5 (không phẩy năm) điểm

c) Yêu cầu về đăng ký điểm cộng

Đối với môn văn hóa, điểm xét thưởng được cộng vào tổng điểm xét tuyển của các tổ hợp có môn thi đạt giải tương ứng. Đối với các môn năng khiếu, điểm xét thưởng được áp dụng tương ứng theo môn khi xét tuyển vào các ngành Giáo dục Mầm non và Giáo dục thể chất.

Thí sinh chỉ được hưởng một mức điểm cộng cao nhất, được cộng vào tổng điểm xét tuyển nhưng không vượt quá thang điểm tối đa (30 điểm) của tổ hợp xét tuyển.

6. Tổ chức tuyển sinh

6.1. Đăng ký xét điểm cộng

6.1.1. Thời gian nộp hồ sơ:

Thí sinh nộp hồ sơ đăng ký để được xét điểm cộng từ ngày 02/4/2026 đến 15/6/2026.

6.1.2. Hình thức:

Thí sinh đăng ký trực tuyến trên Hệ thống tuyển sinh của Trường (https://dkxt.dhhp.edu.vn) đồng thời nộp hồ sơ trực tiếp hoặc gửi chuyển phát nhanh hồ sơ đăng ký theo địa chỉ: Phòng Khảo thí và Đảm bảo chất lượng - Trường Đại học Hải Phòng, số 171 Phan Đăng Lưu, Phù Liễn, Hải Phòng.

6.1.3. Hồ sơ gồm có:

  • Phiếu đăng ký xét điểm cộng (kết xuất từ Hệ thống tuyển sinh https://dkxt.dhhp.edu.vn của Trường);
  • Căn cước công dân (chứng thực);
  • Kết quả đạt giải (chứng thực);
  • Lệ phí xét.

6.2. Đăng ký xét tuyển kết hợp với chứng chỉ ngoại ngữ

6.2.1. Thời gian nộp hồ sơ:

Thí sinh nộp hồ sơ đăng ký để được xét quy đổi điểm chứng chỉ ngoại ngữ từ ngày 02/4/2026 đến 15/6/2026.

6.4. Tổ chức tuyển sinh theo các phương thức

6.4.1. Thời gian nhận đăng ký xét tuyển (ĐKXT)

Xét tuyển đợt 1: Theo kế hoạch, lịch trình của Bộ GD&ĐT (có lịch thông báo cụ thể);

Xét tuyển đợt bổ sung: Trường cập nhật Lịch ĐKXT trên Cổng thông tin điện tử (https://dhhp.edu.vn) và Cổng thông tin tuyển sinh (https://tuyensinh.dhhp.edu.vn). Thí sinh đăng ký xét tuyển trực tuyến trên Hệ thống tuyển sinh của Trường (https://dkxt.dhhp.edu.vn) hoặc nộp phiếu ĐKXT và lệ phí qua đường bưu điện hoặc nộp trực tiếp tại Trường sau khi đã biết kết quả xét tuyển đợt 1.

6.4.2. Hình thức nhận đăng ký xét tuyển

PT1: Thí sinh đăng ký xét tuyển trực tuyến trên Hệ thống của Bộ GD&ĐT.

PT2: Đối với thí sinh tốt nghiệp THPT năm 2026, đăng ký xét tuyển trực tuyến trên Hệ thống tuyển sinh của Bộ GD&ĐT.

Đối với thí sinh tốt nghiệp trước năm 2026, đăng ký xét tuyển trực tuyến trên Hệ thống của Bộ GD&ĐT và Hệ thống tuyển sinh của Trường (https://dkxt.dhhp.edu.vn) đồng thời nộp hồ sơ qua đường bưu điện hoặc nộp trực tiếp tại Trường theo địa chỉ: Phòng Khảo thí và Đảm bảo chất lượng, Nhà C2 - Trường Đại học Hải Phòng, địa chỉ: Số 171 Phan Đăng Lưu, Phù Liễn, Hải Phòng.

Hồ sơ ĐKXT gồm: Phiếu đăng ký xét tuyển (kết xuất từ Hệ thống tuyển sinh https://dkxt.dhhp.edu.vn của Trường); Bản sao có chứng thực Học bạ THPT, Bằng tốt nghiệp đối với thí sinh tốt nghiệp trước năm 2026 hoặc giấy chứng nhận tốt nghiệp đối với thí sinh tốt nghiệp năm 2026; giấy chứng nhận ưu tiên (nếu có).

PT4: Thí sinh đăng ký xét tuyển trực tuyến trên Hệ thống của Bộ GD&ĐT và Hệ thống tuyển sinh của Trường (https://dkxt.dhhp.edu.vn) đồng thời nộp hồ sơ qua đường bưu điện hoặc nộp trực tiếp tại Trường theo địa chỉ: Phòng Khảo thí và Đảm bảo chất lượng, Nhà C2 - Trường Đại học Hải Phòng, địa chỉ: Số 171 Phan Đăng Lưu, Phù Liễn, Hải Phòng.

Thời gian nhận đăng ký dự kiến từ ngày 02/4/2026 đến 15/6/2026

Hồ sơ ĐKXT gồm: Phiếu đăng ký xét tuyển (kết xuất từ Hệ thống tuyển sinh https://dkxt.dhhp.edu.vn của Trường); Bản sao có chứng thực Kết quả thi đánh giá năng lực/đánh giá tư duy, Bằng tốt nghiệp đối với thí sinh tốt nghiệp trước năm 2026 hoặc giấy chứng nhận tốt nghiệp đối với thí sinh tốt nghiệp năm 2026; giấy chứng nhận ưu tiên (nếu có).

PT5: Thí sinh đăng ký xét tuyển trực tuyến trên Hệ thống của Bộ GD&ĐT và Hệ thống tuyển sinh của Trường (https://dkxt.dhhp.edu.vn) đồng thời nộp hồ sơ qua đường bưu điện hoặc nộp trực tiếp tại Trường theo địa chỉ: Phòng Khảo thí và Đảm bảo chất lượng, Nhà C2 - Trường Đại học Hải Phòng, địa chỉ: Số 171 Phan Đăng Lưu, Phù Liễn, Hải Phòng.

Thời gian nhận đăng ký dự kiến từ ngày 02/4/2026 đến 15/6/2026

Hồ sơ ĐKXT gồm: Phiếu đăng ký xét tuyển (kết xuất từ Hệ thống tuyển sinh https://dkxt.dhhp.edu.vn của Trường); Bản sao có chứng thực Kết quả đạt giải tại các cuộc thi quy định tại mục 2.5, Bằng tốt nghiệp đối với thí sinh tốt nghiệp trước năm 2026 hoặc giấy chứng nhận tốt nghiệp đối với thí sinh tốt nghiệp năm 2026; giấy chứng nhận ưu tiên (nếu có).

7. Chính sách ưu tiên

Trường thực hiện xét tuyển thẳng đối với các thí sinh được quy định tại mục 2.5.

8. Mức thu dịch vụ tuyển sinh

Lệ phí xét tuyển theo quy định của Bộ GD&ĐT và theo thông báo của Trường Đại học Hải Phòng.

9. Cam kết của cơ sở đào tạo đối với thí sinh

Thí sinh phải hoàn toàn chịu trách nhiệm về sự chính xác của những thông tin đăng ký dự tuyển. Trường hợp thí sinh có khiếu nại về kết quả tuyển sinh, Trường sẽ giải quyết theo quy định hiện hành trên cơ sở bảo vệ quyền lợi chính đáng của thí sinh.

10. Các nội dung khác

10.1. Chính sách học bổng khuyến khích học tập

Trong năm học 2026–2027, Trường Đại học Hải Phòng dự kiến dành khoảng 10 tỷ đồng để cấp học bổng khuyến khích học tập cho sinh viên, thực hiện theo Quy định xét cấp học bổng hiện hành đối với sinh viên đại học hệ chính quy của Nhà trường.

Bên cạnh nguồn học bổng từ Nhà trường, sinh viên còn có cơ hội nhận các học bổng tài trợ từ các tổ chức, doanh nghiệp ngoài trường, với tổng giá trị hỗ trợ lên tới hàng trăm triệu đồng mỗi năm.

10.2. Chính sách thu hút, trọng dụng người có tài năng

Sinh viên có thể được hưởng chính sách học bổng của thành phố Hải Phòng theo Nghị quyết số 53/2025/NQ-HĐND ngày 11/12/2025. Theo đó, thành phố hỗ trợ 100% học phí cho các đối tượng sau:

a) Học sinh đạt giải Nhất, Nhì, Ba trong các kỳ thi chọn Học sinh giỏi hoặc nghiên cứu khoa học cấp quốc gia, hoặc đạt Huy chương Vàng, Bạc, Đồng trong các kỳ thi chọn học sinh giỏi cấp quốc tế; đồng thời cam kết học tập và tốt nghiệp đại học loại Giỏi trở lên tại Trường Đại học Hải Phòng.

b) Học sinh tốt nghiệp các trường trung học phổ thông thuộc thành phố Hải Phòng đạt giải Nhất trong các kỳ thi chọn Học sinh giỏi hoặc nghiên cứu khoa học cấp thành phố, hoặc có điểm trúng tuyển theo phương thức sử dụng kết quả thi tốt nghiệp THPT từ 27 điểm trở lên vào Trường Đại học Hải Phòng; đồng thời cam kết học tập và tốt nghiệp đại học loại Giỏi trở lên.

10.3. Học phí dự kiến

Sinh viên khối ngành đào tạo giáo viên khi đăng ký hưởng chính sách theo Nghị định 116/NĐ-CP ngày 25/9/2020 của Chính phủ thì không phải đóng học phí.

Lộ trình tăng học phí (nếu có): thực hiện theo quy định hiện hành của Nhà nước.

10.4. Cơ hội học tập

Sau năm học thứ nhất, sinh viên có thể đăng ký học chương trình đào tạo thứ hai (học song song hai chương trình đại học). Trong quá trình học, sinh viên được miễn học và chuyển đổi kết quả đối với các học phần tương đương. Sau khi hoàn thành chương trình đào tạo (từ 3,5 đến 4 năm), sinh viên đủ điều kiện sẽ được cấp 02 bằng đại học.

Sau khi tốt nghiệp, sinh viên có thể tiếp tục đăng ký học nâng cao trình độ (thạc sĩ, tiến sĩ) hoặc học văn bằng đại học thứ hai tại Trường Đại học Hải Phòng.

10.5. Công bố trúng tuyển

Kết thúc mỗi đợt xét tuyển, Trường công bố điểm trúng tuyển trên Cổng thông tin điện tử (https://dhhp.edu.vn) và Cổng thông tin tuyển sinh (https://tuyensinh.dhhp.edu.vn).

Thí sinh trúng tuyển xác nhận nhập học vào Trường trong thời hạn quy định bằng hình thức trực tuyến trên hệ thống tuyển sinh của Bộ GD&ĐT trước khi nhập học tại Trường.

Theo TTHN

🔥 2K9 CHÚ Ý! LUYỆN THI TN THPT - ĐÁNH GIÁ NĂNG LỰC - ĐÁNH GIÁ TƯ DUY!

  • Em muốn xuất phát sớm ôn luyện ĐGNL/ĐGTD nhưng chưa biết bắt đầu từ đâu?
  • Em muốn ôn thi TN THPT và ĐGNL/ĐGTD để tăng cơ hội xét tuyển nhưng không biết ôn thế nào, sợ quá tải?
  • Em muốn được luyện đề chất lượng, chuẩn cấu trúc các kì thi?
  • Em muốn ôn thi cùng TOP thầy cô giỏi hàng đầu cả nước?

️🎯 LỘ TRÌNH SUN 2027 - LUYỆN THI TN THPT - ĐGNL - ĐGTD (3IN1)

  • Cá nhân hoá lộ trình học: Bổ sung kiến thức nền tảng/ Luyện thi/ Luyện đề phù hợp với mục tiêu và mức học lực hiện tại.
  • Top thầy cô nổi tiếng cả nước hơn 15 năm kinh nghiệm
  • Ưu đãi học phí lên tới 50%. Xem ngay - TẠI ĐÂY

Group 2K8 ôn Thi ĐGNL & ĐGTD Miễn Phí

Viết bình luận: Thông tin tuyển sinh Đại học Hải Phòng 2026

  •  
Tra cứu điểm chuẩn Đại học 2025