TP HCM công bố chỉ tiêu lớp 10 của 181 trường

Năm nay, TP HCM có hơn 169.000 học sinh tốt nghiệp THCS, tăng gần 43.000 so với năm ngoái. Kỳ thi vào lớp 10 dự kiến vào ngày 1-2/6 với ba môn Toán, Văn, Ngoại ngữ (chủ yếu Tiếng Anh).

Chiều 29/4, Sở Giáo dục và Đào tạo, 181 trường công lập ở TP HCM có khoảng 116.300 suất học lớp 10, tỷ lệ đỗ khoảng 69%.

Nhóm có nguyện vọng vào trường chuyên sẽ làm bài môn chuyên tương ứng. Riêng ở xã đảo Thạnh An, đặc khu Côn Đảo, các trường xét tuyển vào lớp 10 bằng học bạ.

Trong 181 trường, 176 trường THPT tuyển khoảng 115.000 học sinh. Còn lại là 5 trường liên cấp, chuyên, năng khiếu.

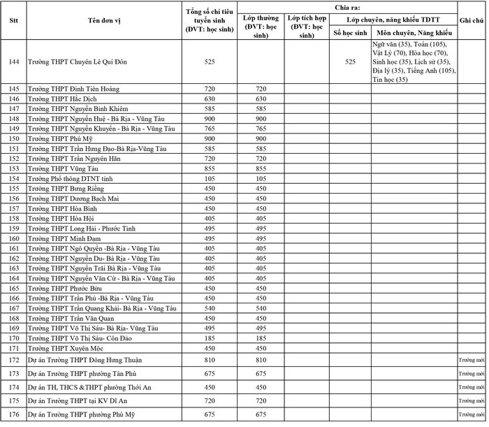
Chỉ tiêu lớp 10 của 181 trường THPT ở TP HCM năm 2026 cụ thể như sau:

>> XEM THÊM ĐIỂM CHUẨN THI VÀO LỚP 10 HCM CÁC NĂM TẠI ĐÂY

TP HCM cong bo chi tieu lop 10 cua 181 truong

TP HCM cong bo chi tieu lop 10 cua 181 truongTP HCM cong bo chi tieu lop 10 cua 181 truongTP HCM cong bo chi tieu lop 10 cua 181 truongTP HCM cong bo chi tieu lop 10 cua 181 truong

DÀNH CHO 2K11 - LỘ TRÌNH ÔN THI VÀO LỚP 10

Tham khảo Khoá học lớp 9 - Lộ trình UP10 tại Tuyensinh247:
- Học và ôn thi cùng giáo viên trường TOP đầu
- Lộ trình ôn thi 3 giai đoạn: Vững nền tảng lớp 9 - Ôn thi vào 10 - Luyện đề vào 10
- Bộ 10.000+ câu hỏi, 500+ bài giảng, 300+ đề thi bám sát sườn cấu trúc đề thi từng tỉnh

Xem thêm thông tin và nhận tư vấn miễn phí - TẠI ĐÂY

PH/HS Tham Gia Nhóm Lớp 10 Để Trao Đổi Tài Liệu, Học Tập Miễn Phí!

Viết bình luận: TP HCM công bố chỉ tiêu lớp 10 của 181 trường

  •  
Xem điểm chuẩn vào 10 2025 - 2026